Afet ve Acil Durum Yönetimi Başkanlığı (AFAD), 2025 yılı için afetlere müdahale kapasitesini güçlendirmek amacıyla büyük bir personel alımı gerçekleştireceğini resmen duyurdu. Türkiye genelinde toplam 1.250 sözleşmeli arama ve kurtarma personeli istihdam edilecek.
Başvurular Kasım’da Başlıyor
AFAD’ın resmi duyurusuna göre alımlar, 1.173 Arama ve Kurtarma Teknisyeni ile 77 Arama ve Kurtarma Teknikeri pozisyonlarını kapsayacak. Başvurular, 5 Kasım 2025 (saat 10.00) tarihinde başlayıp 11 Kasım 2025 (saat 17.00) tarihine kadar e-Devlet üzerinden “Kariyer Kapısı” platformu aracılığıyla yapılabilecek.
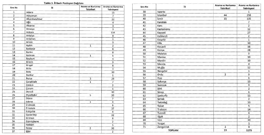
Tüm İllerde Kontenjan Açıldı
Türkiye genelinde geniş bir kadro planlaması yapan AFAD, tüm illerde personel alımı gerçekleştirecek. Kontenjan dağılımında Ankara’ya 154, İstanbul’a 258 ve İzmir’e 135 kişilik kontenjan ayrıldığı bildirildi.
Genel ve Özel Şartlar Belirlendi
Adaylarda aranan genel başvuru şartları arasında Türkiye Cumhuriyeti vatandaşı olmak, 11 Kasım 1996 ve sonrası doğumlu olmak (30 yaşından gün almamış olmak), en az B sınıfı sürücü belgesine sahip olmak ve askerlikle ilişiği bulunmamak yer alıyor. Ayrıca, erkek adaylar için 1.65 – 1.90 m, kadın adaylar için 1.60 – 1.85 m boy şartı ile boy ve kilo farkının en fazla $\pm 10$ kilogram olması gerekiyor.
Eğitim ve KPSS Şartları
Pozisyonlara göre eğitim ve KPSS şartları şöyle belirlendi:
- Arama ve Kurtarma Teknikeri: Ön lisans mezunu olmak (İnşaat, Makine, Elektrik vb. bölümler), KPSSP93 puan türünden en az 60 puan almak.
- Arama ve Kurtarma Teknisyeni: Mesleki ve teknik lise mezunu olmak (Elektrik-Elektronik, Makine, İnşaat vb. alanlar), KPSSP94 puan türünden en az 60 puan almak.
Sınav Süreci ve Parkur Detayları
Adaylar, KPSS puanı üzerinden ön değerlendirme sonrası uygulama sınavına davet edilecek. Uygulama sınavı, 26 Ocak – 13 Şubat 2026 tarihleri arasında Bursa, Diyarbakır, İzmir ve Samsun’daki sınav merkezlerinde yapılacak.
Uygulama sınavı, 9 etaptan oluşan zorlu bir fiziki parkurdan oluşacak. Adayların slalom, tünel geçişi, ağırlık taşıma ve engel geçişi gibi etapları tamamlaması istenecek. Başarılı olmak için süreyi en iyi şekilde kullanmak önem taşıyor. Ayrıca, sınava katılacak adayların tam teşekküllü devlet hastanelerinden “Arama ve kurtarma teknikeri/teknisyeni olur” ibareli sağlık raporu getirmeleri zorunlu tutuluyor.
AFAD, bu büyük alımla ülkenin her köşesinde afetlere müdahale edebilecek insan kaynağını güçlendirmeyi ve afet öncesi ve sonrası kapasitesini artırmayı hedefliyor. Adayların tek bir il ve pozisyon için başvuru yapabileceği ve şartları taşımayanların eleneceği hatırlatıldı.

